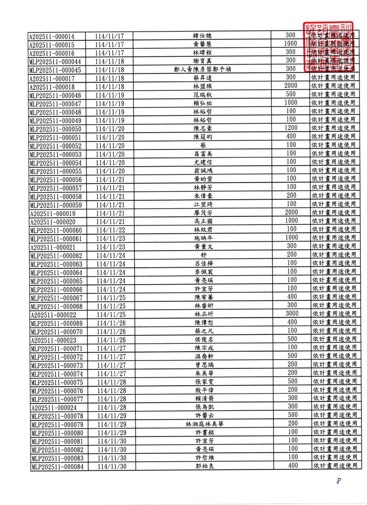
114年 衛福部勸募字號募款活動捐款人名冊

「聽見AED,拯救每顆心」公益勸募計畫

勸募活動起迄日期:114/06/19~114/12/31
許可文號:衛部救字第1141362150號

捐贈者名稱為捐款時所填入之顯示名稱,如特別勾選匿名選項或未填寫,則會顯示匿名或姓名部分隱匿(如:王O明)

分享文章 Share:

相關文章

This Headline Grabs Visitors’ Attention

A short description introducing your business and the services to visitors.